责任编辑:匿名 (未验证)
2011/07/25
作者:薄崇飞
一、前言
从2005年起,我国光缆产业呈现出复苏的迹象,2006年国内市场需求接近2000万芯公里;2008年虽然受全球金融危机影响,国内市场需求也超过了4000万芯公里;进入2009年,在我国电信运营商重组完成以及3G牌照发放的带动下,我国光纤市场需求继续呈迅猛增长态势,达到一个新高峰,达到8800万芯公里左右;2010年以来,多重利好因素给我国光纤产业的发展带来了重大机遇:1.光纤产业的发展越来越受到相关机构的重视;2.市场需求迅速复苏;3.中外企业从竞争走向竞合,有助于产业的发展。
由于国家对发展基础通信设施的大力支持,以及使用场地的细化,水线光缆等特殊光缆的总体使用量逐年加大,所以对特殊光缆的市场需求呈现出平稳上升的状态。数据表明,从2005年起水线光缆的市场需求量逐年地在增加。水线光缆适合于在海岸边上、浅水中、山地安装,无需中继、通信距离比较短的水下(如岛屿间、沿海岸边上的城市)敷设使用。这种光缆区别于海底光缆的环境,需要的光纤数不多,结构要求相对海底光缆简单、成本较低,易于安装和运输,便于修复和维护。
二、在设计水线光缆时,我们首先应满足以下几点要求:
1、光缆拉伸窗口的设计:光缆的余长有两部分:一是光纤二次套塑之后的余长,称为套塑余长(ε0)即束管余长;二是在成缆绞合后得到的余长,称为结构余长(ε1)。 在光缆内光纤不受外力的情况下光缆的拉伸窗口就等于结构余长,而实际光缆的拉伸窗口为ε=ε0 +ε1,由于光纤在松套管内成螺旋形分布,则有:
ε=ε0 +ε
=-1+{1+4л2/h2[2(r+d)/b-(r+d)2/ b2]}1/2
式中b 为光纤束管的绞合半径,r 为光纤在束管中的自由度,h 为束管绞合节距,d 为光纤的预偏置。
合理设计并精确控制松套管中光纤余长,同时采用合理的松套管SZ绞合节距的设计及控制,使光缆的工作应变远远小于拉伸窗口值,使缆内光纤不受任何拉伸,增加光缆的抗拉、抗弯、抗扭曲、抗冲击等功能,保证光缆具有优良的机械特性和温度特性。
2、 松套管材料应具备和管内充满的防潮光纤油膏在-40℃~+70℃使用环境下,松套管应具备低温不开裂,高温不软化;油膏具备低温不凝固,高温不挥发。以保障光纤传输性能的长期稳定。
3、缆芯所有缝隙全填充阻水油膏,确保缆芯纵向不渗水。铝塑内护套确保了缆芯纵向不透水和径向防潮的功能,同时铝塑带采用扎纹技术,压扁试验数据表明轧纹铝塑内护后内护缆芯抗侧压力提高20%。
4、行业内目前的水线光缆一般采用镀锌低碳钢丝进行铠装,而我们设计的4T超强抗拉水线光缆采用的是高碳镀锌钢丝(当然也可以选择磷化钢丝),钢丝表面镀层均匀,不得有裂纹、斑痕、镀层局部脱落等瑕疵。如有局部镀层堆积,使钢丝直径增大值不应超过直径允许偏差的1.2倍。
5、双层细圆钢丝精准的束绞铠装节距设计以及双层钢丝放线张力的控制,使光缆在受到外力作用时,受力元件由外向内依次受力,从而很好的保护了光纤,使光缆有超强抗拉的特性,确保光缆具有优良的抗拉强度和环境性能。
6、光缆拉伸窗口控制:当光缆最承受最大抗拉强度(40000N)时,内外层钢丝不可逆形变时所需缆芯拉伸窗口必须小于缆芯实际拉伸窗口。
三、水线光缆钢丝数量及钢丝选择的设计
在设计水线光缆时,往往考虑:由抗拉张力确定的钢丝根数与实际使用的钢丝根数,实际使用的钢丝根数与水线光缆结构决定的钢丝根数这三者之间的关系值,而抗拉张力确定的钢丝根数有好几种算法,如下:
1、根据杨氏摸量和拉伸窗口来决定:
式中F为规定的张力,ε为拉伸窗口,E为钢丝的杨氏摸量,R为使用低碳钢丝半径,M为钢丝数量;
2、根据屈服强度和规定的张力来决定:
式中K为低碳钢丝的杨氏摸量对应的强度;
3、根据缆的结构决定钢丝根数:
式中D为缆芯的直径,d为钢丝的直径。
四、缆芯加强件与绞合钢丝的关系
在水线光缆抗拉强度的设计时,一般情况下,我们是不考虑缆芯加强件的。而一般的缆芯加强件采用磷化钢丝,缆芯加强件应当在抗拉强度上占有一定比例,为什么不考虑它呢?
虎克定律:
式中E为加强构件的杨氏模量,ε为伸长应变,F短为光缆短暂拉力。
我们在设计水缆结构时,对于采用的高碳钢丝的抗拉强度并不是一个准确的值,实际的抗拉能力和理论设计有误差,一旦出现小于设计值,就不能达到相应水线光缆的抗拉要求,因此,在设计中,把中心加强件磷化钢丝作为一个抗拉的安全预度,在水线光缆受到纵向拉伸力时起预防作用。另外,水线光缆经受拉力时,由于低碳钢丝是以一定节距以螺旋缠绕在缆芯上,在初始受力时,高碳钢丝就相当于钢丝弹簧的形变,钢丝不产生应变。可以保证光缆伸长不会太快,以对蓝心内光纤不产生损伤,故加强件的选择、高碳钢丝的线径大小、束绞节距三者密切相关。
针对上述,水线光缆的抗拉强度主要由钢铠钢丝提供(中心加强构件及其它部件只起预防作用),如何选择钢铠钢丝的直径和绞绕节距,以保证水线光缆在短期施工拉力下,光缆中的光纤应变不超过规定值。我们认为光缆受力时,纵向伸长必定导致径向收缩,并保持体积不变。若以x表示光缆纵向拉伸应变,y表示径向收缩应变,则有:

化简后即得:
上述公式为光缆纵向拉伸应变和径向收缩应变的关系,但我们根据铠装钢丝绞合后弯曲半径公式:

为使钢丝铠装光缆能便于弯曲,要求
光缆直径,
,
化简后即得:h≤15(D+d);
但另一方面,为使铠装钢丝不因过小弯曲半径而使其能承担的拉力减小,又要求:
,
化简后即得:h≥9.6(D+d),
综合可得,9.6(D+d)≤h≤15(D+d),
上式中,D为光缆外径,d为铠装钢丝的外径。
五、水线光缆钢丝绞合质量与光缆护套生产的关系
水线光缆结构确定后,就要进行生产,同样水线光缆的生产要求依然要比普通光缆严格,其工艺参数的实现需要特殊的方法。
在水线光缆的实际生产中,影响成品质量的重要工序已经从普通光缆的二套工序转移到了钢丝铠装工序,因为在设计中,实际使用钢丝数量大于设计的数量,因此在承受拉力时,光纤应变要远低于设计中考虑的纤应变,此时,套管中的余长的大小相对就不是主要因素了。而钢丝绞合质量直接影响到光缆护套的质量。生产水线光缆,其钢丝绞合质量是光缆的总体质量的决定性因素。
2、铠装钢丝复绕张力不均匀、钢丝放线张力不一致会使钢铠时就出现钢丝外逃或错位情况,绞合后的缆芯呈弯曲状,护套生产后成品光缆摆放不直,外表纵向呈现发拧现象,影响到施工和正常使用;
3、钢丝张力太大,绞合时对缆芯挤压过重,容易造成光纤衰减增大,出现台阶,甚至断纤,造成光缆不能正常使用。钢丝张力太小,绞合时与缆芯紧密程度降低,容易造成缆芯与钢丝层出现分层,出现缆芯滑动,在光缆因施工或者受到较大拉伸力时绞合钢丝不能完全提供抗拉力,严重情况下出现缆芯内光纤断裂,造成光缆报废。
当然,造成上述现象的原因在于钢丝铠装设备是否有钢丝张力自动控制系统。如果有些厂家设备没有钢丝张力自动控制系统时,也可采用简单的钢丝“自重张力控制”进行弥补,即通过对钢丝盘施加摩擦力来实现对张力的控制。
六、如何处理生产中的细节问题
1、钢丝铠装的钢丝必须经过钢丝定长复绕,对于要货定长的光缆,只有通过钢丝定长复绕,才能降低钢丝消耗,更合理地避免出现钢丝接头或接头过多现象,同时,相同长度的钢丝更利于对铠装设备钢丝放线装置在高速旋转时的重心控制,提高设备操作安全。
2、双细钢丝铠装是超强抗拉水线光缆关键的控制工艺,内外层钢丝放线张力控制、绞缩率控制以及内层圆整性、紧密度控制是要求非常高,尤其是铠装高碳钢丝,难度比较大。例如:内外层钢丝的防线张力必须区别对待,内层相对大一些,外层相对小一些,避免在外层钢丝绞合时的反向力引起内层钢丝出现松散、堆积、错位等影响产品质量的情况发生。
3、由于护套生产是由Ф90机完成,由于Ф90机型的设备挤塑量、钢铠自身的重力问题,护套挤塑机头前会加上一个“真空泵”以对护套挤塑“喇叭口”长短进行合理控制,但由于真空泵的吸力问题,会对钢铠外层的包带产生吸力,一旦出现钢铠的包带在接头张力有松散现象,就会使包带堆积甚至导致堵塞机头,造成断缆,而成缆包带接头又是无法避免的,所以适度控制真空泵吸力,也是护套工序生产的重要细节之一。
4、盘具及包装的质量问题也不容忽视:由于水线光缆经过钢丝铠装,高碳钢丝是以一定节距以螺旋缠绕在缆芯外层上,经过再次护套后绕在成品盘具上,此时水线光缆会对盘具桶芯和桶壁产生一定的应力,如果桶芯木板间不严密、偏薄,光缆盘具就会因承受不了光缆钢丝应力而散架;水线光缆绞合钢丝多,光缆重,如果光缆盘具整体包装不严紧,在护套收线或施工放线时,盘具螺丝易脱落或支架焊接脱落,影响使用。
七、问题探讨
探讨一:高碳钢丝和低碳钢丝,选择哪个更有利?
由于高碳钢丝的钢性比较大,其绞合紧密性比较差,在绕包后缆芯容易松散,尤其在内外两端很难控制,一旦出现钢丝张力不均匀,钢丝的性能会出现劣化,使光缆传输性能非常容易出现不稳定情况。而低碳钢丝比较柔软,其绞合紧密性比较好,在绕包后缆芯不容易松散,不会出现光缆护套后发拧现象。我们通过实际生产已经解决了高碳钢丝容易发生的问题。因此,我们认为低碳钢丝和高碳钢丝都适用于水线光缆的铠装。
探讨二:水线光缆在拉伸状态下缆芯承受的侧压力与标准规定的侧压力哪个大?
水线光缆由于是钢丝束绞铠装,当光缆在拉伸受力状态下,铠装钢丝有横向缆芯内部挤压形成侧压力,同时YD/T 901-2009标准规定的长期和短期侧压力是4000N和6000N,两个压力究竟哪个大?经过多次试验我们认为光缆在拉伸状态下缆芯承受的侧压力明显高于压扁时的侧压力。
八、总结
作为普通光缆,目前国内光缆行业生产技术都已经十分成熟,能生产抗拉力达到4T水线光缆的厂家也有几家,但我们实际生产中还是发现了结构设计和工艺控制中影响光缆抗拉性能的诸多因素,处置不当,会引起光缆在质量上发生问题或留下质量隐患。水线光缆高抗拉性能不仅仅是对水线光缆本身的机械保护,还涉及光缆的质量和寿命相关的问题,所以光缆生产的各个工艺参数必须严格控制,才能生产出一流的产品。
从2005年起,我国光缆产业呈现出复苏的迹象,2006年国内市场需求接近2000万芯公里;2008年虽然受全球金融危机影响,国内市场需求也超过了4000万芯公里;进入2009年,在我国电信运营商重组完成以及3G牌照发放的带动下,我国光纤市场需求继续呈迅猛增长态势,达到一个新高峰,达到8800万芯公里左右;2010年以来,多重利好因素给我国光纤产业的发展带来了重大机遇:1.光纤产业的发展越来越受到相关机构的重视;2.市场需求迅速复苏;3.中外企业从竞争走向竞合,有助于产业的发展。
由于国家对发展基础通信设施的大力支持,以及使用场地的细化,水线光缆等特殊光缆的总体使用量逐年加大,所以对特殊光缆的市场需求呈现出平稳上升的状态。数据表明,从2005年起水线光缆的市场需求量逐年地在增加。水线光缆适合于在海岸边上、浅水中、山地安装,无需中继、通信距离比较短的水下(如岛屿间、沿海岸边上的城市)敷设使用。这种光缆区别于海底光缆的环境,需要的光纤数不多,结构要求相对海底光缆简单、成本较低,易于安装和运输,便于修复和维护。
二、在设计水线光缆时,我们首先应满足以下几点要求:
1、光缆拉伸窗口的设计:光缆的余长有两部分:一是光纤二次套塑之后的余长,称为套塑余长(ε0)即束管余长;二是在成缆绞合后得到的余长,称为结构余长(ε1)。 在光缆内光纤不受外力的情况下光缆的拉伸窗口就等于结构余长,而实际光缆的拉伸窗口为ε=ε0 +ε1,由于光纤在松套管内成螺旋形分布,则有:
ε=ε0 +ε
=-1+{1+4л2/h2[2(r+d)/b-(r+d)2/ b2]}1/2
式中b 为光纤束管的绞合半径,r 为光纤在束管中的自由度,h 为束管绞合节距,d 为光纤的预偏置。
合理设计并精确控制松套管中光纤余长,同时采用合理的松套管SZ绞合节距的设计及控制,使光缆的工作应变远远小于拉伸窗口值,使缆内光纤不受任何拉伸,增加光缆的抗拉、抗弯、抗扭曲、抗冲击等功能,保证光缆具有优良的机械特性和温度特性。
2、 松套管材料应具备和管内充满的防潮光纤油膏在-40℃~+70℃使用环境下,松套管应具备低温不开裂,高温不软化;油膏具备低温不凝固,高温不挥发。以保障光纤传输性能的长期稳定。
3、缆芯所有缝隙全填充阻水油膏,确保缆芯纵向不渗水。铝塑内护套确保了缆芯纵向不透水和径向防潮的功能,同时铝塑带采用扎纹技术,压扁试验数据表明轧纹铝塑内护后内护缆芯抗侧压力提高20%。
4、行业内目前的水线光缆一般采用镀锌低碳钢丝进行铠装,而我们设计的4T超强抗拉水线光缆采用的是高碳镀锌钢丝(当然也可以选择磷化钢丝),钢丝表面镀层均匀,不得有裂纹、斑痕、镀层局部脱落等瑕疵。如有局部镀层堆积,使钢丝直径增大值不应超过直径允许偏差的1.2倍。
5、双层细圆钢丝精准的束绞铠装节距设计以及双层钢丝放线张力的控制,使光缆在受到外力作用时,受力元件由外向内依次受力,从而很好的保护了光纤,使光缆有超强抗拉的特性,确保光缆具有优良的抗拉强度和环境性能。
6、光缆拉伸窗口控制:当光缆最承受最大抗拉强度(40000N)时,内外层钢丝不可逆形变时所需缆芯拉伸窗口必须小于缆芯实际拉伸窗口。
三、水线光缆钢丝数量及钢丝选择的设计
在设计水线光缆时,往往考虑:由抗拉张力确定的钢丝根数与实际使用的钢丝根数,实际使用的钢丝根数与水线光缆结构决定的钢丝根数这三者之间的关系值,而抗拉张力确定的钢丝根数有好几种算法,如下:
1、根据杨氏摸量和拉伸窗口来决定:

式中F为规定的张力,ε为拉伸窗口,E为钢丝的杨氏摸量,R为使用低碳钢丝半径,M为钢丝数量;
2、根据屈服强度和规定的张力来决定:

式中K为低碳钢丝的杨氏摸量对应的强度;
3、根据缆的结构决定钢丝根数:

式中D为缆芯的直径,d为钢丝的直径。
四、缆芯加强件与绞合钢丝的关系
在水线光缆抗拉强度的设计时,一般情况下,我们是不考虑缆芯加强件的。而一般的缆芯加强件采用磷化钢丝,缆芯加强件应当在抗拉强度上占有一定比例,为什么不考虑它呢?
虎克定律:

式中E为加强构件的杨氏模量,ε为伸长应变,F短为光缆短暂拉力。
我们在设计水缆结构时,对于采用的高碳钢丝的抗拉强度并不是一个准确的值,实际的抗拉能力和理论设计有误差,一旦出现小于设计值,就不能达到相应水线光缆的抗拉要求,因此,在设计中,把中心加强件磷化钢丝作为一个抗拉的安全预度,在水线光缆受到纵向拉伸力时起预防作用。另外,水线光缆经受拉力时,由于低碳钢丝是以一定节距以螺旋缠绕在缆芯上,在初始受力时,高碳钢丝就相当于钢丝弹簧的形变,钢丝不产生应变。可以保证光缆伸长不会太快,以对蓝心内光纤不产生损伤,故加强件的选择、高碳钢丝的线径大小、束绞节距三者密切相关。
针对上述,水线光缆的抗拉强度主要由钢铠钢丝提供(中心加强构件及其它部件只起预防作用),如何选择钢铠钢丝的直径和绞绕节距,以保证水线光缆在短期施工拉力下,光缆中的光纤应变不超过规定值。我们认为光缆受力时,纵向伸长必定导致径向收缩,并保持体积不变。若以x表示光缆纵向拉伸应变,y表示径向收缩应变,则有:

化简后即得:

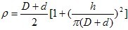
上述公式为光缆纵向拉伸应变和径向收缩应变的关系,但我们根据铠装钢丝绞合后弯曲半径公式:

为使钢丝铠装光缆能便于弯曲,要求
光缆直径,
,化简后即得:h≤15(D+d);
但另一方面,为使铠装钢丝不因过小弯曲半径而使其能承担的拉力减小,又要求:
,化简后即得:h≥9.6(D+d),
综合可得,9.6(D+d)≤h≤15(D+d),
上式中,D为光缆外径,d为铠装钢丝的外径。

图1 GYTA333光缆截面结构示意图
五、水线光缆钢丝绞合质量与光缆护套生产的关系
水线光缆结构确定后,就要进行生产,同样水线光缆的生产要求依然要比普通光缆严格,其工艺参数的实现需要特殊的方法。
在水线光缆的实际生产中,影响成品质量的重要工序已经从普通光缆的二套工序转移到了钢丝铠装工序,因为在设计中,实际使用钢丝数量大于设计的数量,因此在承受拉力时,光纤应变要远低于设计中考虑的纤应变,此时,套管中的余长的大小相对就不是主要因素了。而钢丝绞合质量直接影响到光缆护套的质量。生产水线光缆,其钢丝绞合质量是光缆的总体质量的决定性因素。

图2 48头钢丝绞合图
1、当出现钢丝绞合张力不均匀,绞合后钢丝层与缆芯的紧密程度参差不齐情况时,一般在钢丝铠装过程中不易被发现,但在护套生产时会暴露出来,轻微时光缆会出现弯曲、随钢丝绞合方向扭转,严重时钢丝会出现向后堆积,当堆积情况达到一定程度时钢丝会将集聚的应力释放使光缆出现钢丝拱起(一根或者多根),最严重时绞合钢丝会整体炸开,形成无法修复的鼓包;2、铠装钢丝复绕张力不均匀、钢丝放线张力不一致会使钢铠时就出现钢丝外逃或错位情况,绞合后的缆芯呈弯曲状,护套生产后成品光缆摆放不直,外表纵向呈现发拧现象,影响到施工和正常使用;
3、钢丝张力太大,绞合时对缆芯挤压过重,容易造成光纤衰减增大,出现台阶,甚至断纤,造成光缆不能正常使用。钢丝张力太小,绞合时与缆芯紧密程度降低,容易造成缆芯与钢丝层出现分层,出现缆芯滑动,在光缆因施工或者受到较大拉伸力时绞合钢丝不能完全提供抗拉力,严重情况下出现缆芯内光纤断裂,造成光缆报废。
当然,造成上述现象的原因在于钢丝铠装设备是否有钢丝张力自动控制系统。如果有些厂家设备没有钢丝张力自动控制系统时,也可采用简单的钢丝“自重张力控制”进行弥补,即通过对钢丝盘施加摩擦力来实现对张力的控制。
六、如何处理生产中的细节问题
1、钢丝铠装的钢丝必须经过钢丝定长复绕,对于要货定长的光缆,只有通过钢丝定长复绕,才能降低钢丝消耗,更合理地避免出现钢丝接头或接头过多现象,同时,相同长度的钢丝更利于对铠装设备钢丝放线装置在高速旋转时的重心控制,提高设备操作安全。
2、双细钢丝铠装是超强抗拉水线光缆关键的控制工艺,内外层钢丝放线张力控制、绞缩率控制以及内层圆整性、紧密度控制是要求非常高,尤其是铠装高碳钢丝,难度比较大。例如:内外层钢丝的防线张力必须区别对待,内层相对大一些,外层相对小一些,避免在外层钢丝绞合时的反向力引起内层钢丝出现松散、堆积、错位等影响产品质量的情况发生。
3、由于护套生产是由Ф90机完成,由于Ф90机型的设备挤塑量、钢铠自身的重力问题,护套挤塑机头前会加上一个“真空泵”以对护套挤塑“喇叭口”长短进行合理控制,但由于真空泵的吸力问题,会对钢铠外层的包带产生吸力,一旦出现钢铠的包带在接头张力有松散现象,就会使包带堆积甚至导致堵塞机头,造成断缆,而成缆包带接头又是无法避免的,所以适度控制真空泵吸力,也是护套工序生产的重要细节之一。
4、盘具及包装的质量问题也不容忽视:由于水线光缆经过钢丝铠装,高碳钢丝是以一定节距以螺旋缠绕在缆芯外层上,经过再次护套后绕在成品盘具上,此时水线光缆会对盘具桶芯和桶壁产生一定的应力,如果桶芯木板间不严密、偏薄,光缆盘具就会因承受不了光缆钢丝应力而散架;水线光缆绞合钢丝多,光缆重,如果光缆盘具整体包装不严紧,在护套收线或施工放线时,盘具螺丝易脱落或支架焊接脱落,影响使用。
七、问题探讨
探讨一:高碳钢丝和低碳钢丝,选择哪个更有利?
由于高碳钢丝的钢性比较大,其绞合紧密性比较差,在绕包后缆芯容易松散,尤其在内外两端很难控制,一旦出现钢丝张力不均匀,钢丝的性能会出现劣化,使光缆传输性能非常容易出现不稳定情况。而低碳钢丝比较柔软,其绞合紧密性比较好,在绕包后缆芯不容易松散,不会出现光缆护套后发拧现象。我们通过实际生产已经解决了高碳钢丝容易发生的问题。因此,我们认为低碳钢丝和高碳钢丝都适用于水线光缆的铠装。
探讨二:水线光缆在拉伸状态下缆芯承受的侧压力与标准规定的侧压力哪个大?
水线光缆由于是钢丝束绞铠装,当光缆在拉伸受力状态下,铠装钢丝有横向缆芯内部挤压形成侧压力,同时YD/T 901-2009标准规定的长期和短期侧压力是4000N和6000N,两个压力究竟哪个大?经过多次试验我们认为光缆在拉伸状态下缆芯承受的侧压力明显高于压扁时的侧压力。
八、总结
作为普通光缆,目前国内光缆行业生产技术都已经十分成熟,能生产抗拉力达到4T水线光缆的厂家也有几家,但我们实际生产中还是发现了结构设计和工艺控制中影响光缆抗拉性能的诸多因素,处置不当,会引起光缆在质量上发生问题或留下质量隐患。水线光缆高抗拉性能不仅仅是对水线光缆本身的机械保护,还涉及光缆的质量和寿命相关的问题,所以光缆生产的各个工艺参数必须严格控制,才能生产出一流的产品。
